
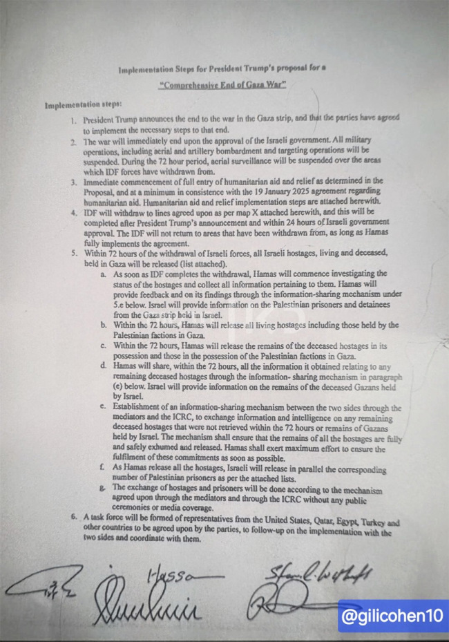
据《以色列时报》报道,当地时间9日晚,以色列公共广播公司坎公布了以色列、哈马斯和调解人在埃及签署的释放被拘留者并结束加沙冲突的协议副本。这份题为《特朗普总统实施加沙战争计划‘计划’的步骤及协议各阶段的详细安排》的文件:第一步是美国总统特朗普宣布“加沙地带战争已经结束,各方都已拿出必要的实施步骤到底”。 “第二步显然”在以色列政府讨论该协议后“战争将立即结束”,“所有军事行动都将停止。第三步要求”立即向加沙地带全面运送援助物资和救援物资。 “第四步设置”以色列国防军(IDF)72小时内未获救的人质,以及以色列国防军扣押的加沙工作人员遗骸信息埃尔。 ”文件补充道:“这一机制必须确保所有被杀人质的遗体得到充分、安全的呼吸和提供。哈马斯必须尽最大努力确保上述承诺尽快得到履行。 “第五步的下一个子条款规定:”在哈马斯释放所有人质的同时,以色列应根据所附名单同时释放相应数量的巴勒斯坦囚犯。澄清:“交换人质和囚犯,需要通过调解员和红十字国际委员会商定的机制进行。这一过程不会举行任何公开仪式,也不会接受媒体报道。”文件中列出的最后一步显示:“由双方负责的美国、卡塔尔、埃及、土耳其等国代表组成的工作组负责遵守 双方落实并互动与双方。 “加沙停火协议副本。