
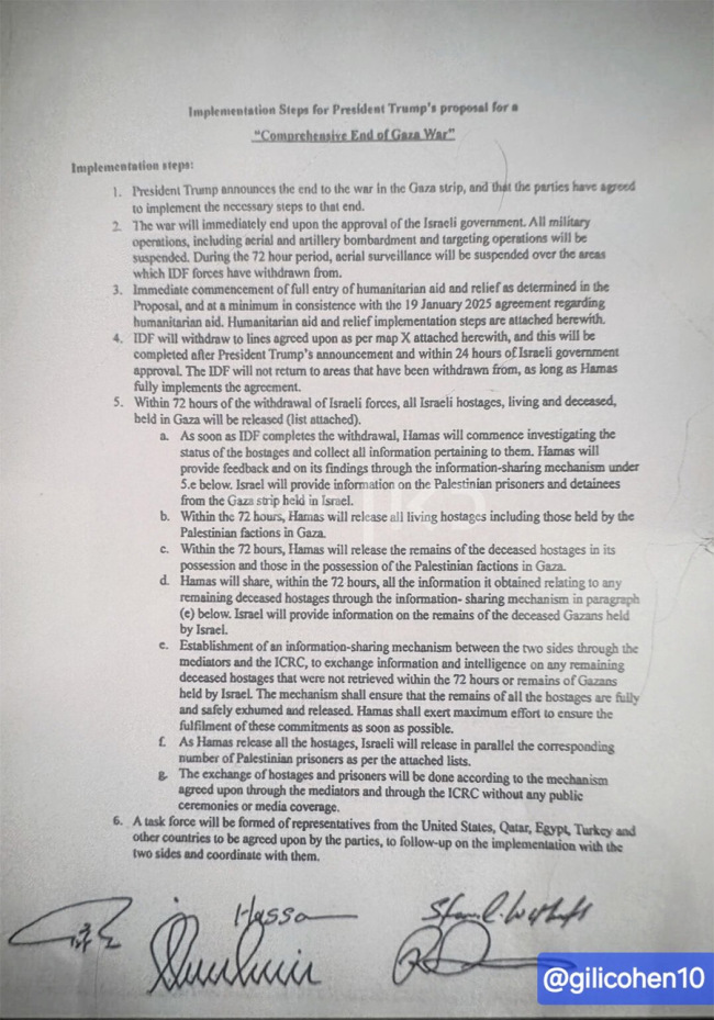
当地时间9日晚,以色列公共广播公司发布了以色列、哈马斯和调解人在埃及签署的释放被拘留者并结束与加沙冲突协议的副本。该文件的标题是“实施特朗普总统关于加沙战争的计划的步骤”以及协议各阶段的详细安排。特朗普总统宣布“加沙地带战争已经结束,各方同意采取必要步骤实施直至后者”。军事行动将立即停止。文件所附地图x所示的袭击。在特朗普总统宣布“战争结束”、以色列政府提交协议后24小时内完成撤离。只要哈马斯全面执行协议,以色列国防军就不会返回其撤离的地区。以军撤离后72小时内,所有在加沙扣押的以色列人质,无论是生者还是死者,都应获释。该文件还称 f或者建立信息共享机制,报告72小时内尚未打捞的死亡人质信息,以及以色列扣押的加沙人员遗骸信息。这一机制应确保所有遇难人质的遗体能够完全安全地呼吸和提供。哈马斯应尽最大努力确保上述承诺尽快兑现。当哈马斯释放所有人质时,以色列必须根据所附名单同时释放相应数量的巴勒斯坦囚犯。人质和囚犯的交换必须通过调解人和红十字国际委员会(红十字委员会)建立的机制进行。该过程不会举行任何公开仪式,也不会受到媒体报道。最后,双方应成立一个由美国、卡塔尔、埃及、土耳其和其他国家代表组成的工作组,以跟踪该协议的实施情况。双方协议并联系双方。